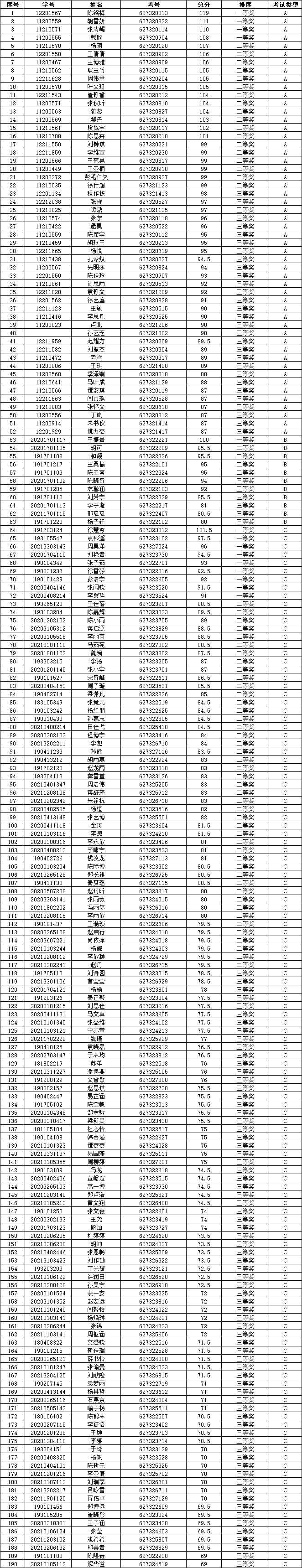
2022年全国大学生英语竞赛初赛已于5月15日在我校举行,此次竞赛我校共有2171名同学报名参赛,初赛共评出一等奖A类4名,B类1名,C类9名;二等奖A类18名,B类4名,C类44名;三等奖A类30名,B类6名,C类73名。获得一等奖的同学将代表学校参加下半年在兰州大学举行的决赛。现将获奖选手名单与成绩公布如下:
全国大学生英语竞赛(National English Contest for College Students, 简称NECCS) 是经教育部有关部门批准,由高等学校大学外语教学指导委员会和高等学校大学外语教学研究会联合主办,英语辅导报社承办的全国唯一的大学生英语综合能力竞赛。


(文图/杨建军 审核/孔令会 来源/创新创业学院 外国语学院)